全是与坡度有关!
坡度 = Y 的改变X 的改变 |
我们可以求两点之间的 平均 坡度.
|
||
但我们怎样求在一点的坡度? 没有什么可以测量的! |
||
但是,在导数里,我们可以用一个很小的差…… ……然后把它缩小到零。 |
![]() |
求函数 y = f(x) 的导数,我们用坡度的公式:
坡度 = Y 的改变 X 的改变 = ΔyΔx

我们看到(如图):
| x 从 | x | 变到 | x+Δx | |
| y 从 | f(x) | 变到 | f(x+Δx) |
按照这步骤去做:
像这样:
例子:函数 f(x) = x2
我们知道 f(x) = x2,也可以计算 f(x+Δx) :
| 开始: | f(x+Δx) = (x+Δx)2 | |
| 展开 (x + Δx)2: | f(x+Δx) = x2 + 2x Δx + (Δx)2 |
| 坡度公式是: | f(x+Δx) − f(x) Δx |
| 代入 f(x+Δx) 和 f(x): | x2 + 2x Δx + (Δx)2 − x2 Δx |
| 简化 (x2 and −x2 约去): | 2x Δx + (Δx)2 Δx |
| 再简化(除以 Δx): | = 2x + Δx |
| 当 Δx 趋近 0时,我们得到: | = 2x |
结果:x2 的导数是 2x
我们写 dx,而不写 "Δx 趋近 0",所以 "的导数" 通常是写成 ![]()
x2 = 2x
"x2 的导数等于 2x"
或 "x2 的 d dx 等于 2x"
意思是,对于函数 x2,在任何一点的坡度或 "变化率" 是 2x。
所以当 x=2,坡度是 2x = 4,如图所示:
或当 x=5,坡度是 2x = 10,以此类推。
注意:f’(x) 也是 "的导数" 的另一个写法:
f’(x) = 2x
"f(x) 的导数等于 2x"
再来看一个例子。
我们知道 f(x) = x3,也可以计算 f(x+Δx) :
| 开始: | f(x+Δx) = (x+Δx)3 | |
| 展开 (x + Δx)3: | f(x+Δx) = x3 + 3x2 Δx + 3x (Δx)2 + (Δx)3 |
| 坡度公式: | f(x+Δx) − f(x) Δx |
| 代入 f(x+Δx) 和d f(x): | x3 + 3x2 Δx + 3x (Δx)2 + (Δx)3 − x3 Δx |
| 简化 (x3 and −x3 约去): | 3x2 Δx + 3x (Δx)2 + (Δx)3 Δx |
| 再简化 (除以 Δx): | = 3x2 + 3x Δx + (Δx)2 |
| 当 Δx 趋近 0 时,我们得到: |
我们可以用同样的方法去求其他函数(如正弦、余弦、对数等等)的导数。
但在实际应用时,最常见的方法是;
但是,用这些法则时要小心!
你不可以把 cos(x) 的导数与 sin(x)的导数相乘来得到答案……你需要用 "乘积法则" (见 导数法则)。
答案是 cos2(x) - sin2(x)
所以你的下一步是:学习使用导数法则。
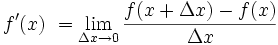
"缩小到零" 可以写一个 极限,像这样:
![]()
"f 的导数等于 当 Δx 趋近零时,f(x+Δx) - f(x) 除以 Δx的极限
有时导数是写成这样的 (见 以 dy/dx 来看导数):
![]()
求导数的过程称为 "微分法"。
你用微分法……来求导数。
去这里学习及练习用 导数法则 来求导数。