你应该先去阅读 极限(入门)
有时我们不能直接计算一个事物的值……可是我们可以去看看越来越接近它时的情形!
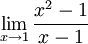
(x2 − 1) (x − 1)
求 x=1 的值:
(12 − 1) (1 − 1) = (1 − 1) (1 − 1) = 0 0
0/0 不好做!没有人知道 0/0 是多少(它是 "不确定的"),所以我们要另辟蹊径。
我们不直接求在 x=1 的值,我们 趋近 它来看看:
| x | (x2 − 1) (x − 1) | |
| 0.5 | 1.50000 | |
| 0.9 | 1.90000 | |
| 0.99 | 1.99000 | |
| 0.999 | 1.99900 | |
| 0.9999 | 1.99990 | |
| 0.99999 | 1.99999 | |
| …… | …… |
现在我们看到当 x 越来越接近 1 的时候, (x2−1) (x−1) 越来越接近 2
这很有趣:
我们想说: "答案就是 2",但我们不能这样说,所以数学家用一个特别的名词来形容这个情况:"极限"
当 x 趋近 1 时, (x2−1) (x−1) 的 极限 是 2
用符号来写就是:
![]()
这是用一个特别的说法来说: "不管在那里是什么,但 x 越来越接近 1 时答案便越来越接近 2"
在图上是这样的: 因此,实际上我们不能说在 x=1 时的值是多少。 但我们可以说:"趋近 1 时,极限是 2。" |
"求值" 的意思是计算……的值
在上面的例子里,极限是 2,因为函数趋近 2。但这样说是不够的!
其实有很多方法去求精确的答案。我们来看看其中几个:
首先要尝试的方法是代入变量的值,来看看可不可以直接算出答案(换句话说,代换)。
试试一些例子:
| 例子 | 代入 | 行吗? | |
|---|---|---|---|
| (1−1)/(1−1) = 0/0 | |||
| 10/2 = 5 |
在第一个例子里,代换法不管用,但在第二个例子里我们很容易得到答案。
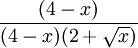
我们可以尝试因式分解。
| 例子: | |
| 因式分解 (x2−1) 为 (x−1)(x+1),我们得到: | |
| 我们现在可以代入 x=1 来求极限: | |
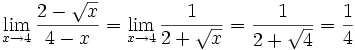
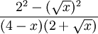
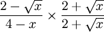
若函数是个分数,把上面和下面乘以 共轭 可能会有帮助。
| 共轭是把 把两个项之间的正负号倒转: |
以下是一个用共轭来求极限的例子:
| 在 x=4,函数是 0/0,不太好! |
我们来重排一下:
| 上面和下面都乘以上面的共轭: | ||
| 用 |
||
| 简化上面: | ||
| 上面和下面消去 (4−x): |
结果是:

大功告成!
| 有理函数 是两个多项式的比: | ||
| 例如,在这里 P(x) = x3 + 2x − 1,Q(x) = 6x2: | 有理函数 f(x) = (x^3+2x-1) / (6x^2)" |
如果我们知道函数的次数,我们便可以知道函数的极限是 0、正无穷大、负无穷大或很容易地用系数计算出极限来。
去阅读 在无穷大的极限 来了解更多。
正式方法是去证明可以把 "x" 无限接近 "a" 来无限接近答案。
去 极限(正式定义) 来了解更多