你应该先去看 极限(入门)
![]() |
无穷大 是个非常特别的概念。我们知道不能达到无穷大,但我们可以尝试去求含有无穷大的函数的值。 |
我们先看一个有趣的例子。
| 问题: 1 ∞ 的值是多少? |
| 答案:不知道! |
最简单的答案是:无穷大不是个数,它是个概念。
所以 1 ∞ 就好像 1 美 或 1 高 一样。
我们也许可以说 1 ∞ = 0 …… 但这样也不对,因为如果我们把 1 切开成无穷多的部分而每个部分都是 0,那么整体怎么会是 1 呢?
其实 1 ∞ 是 未定义的。
我们无法计算在无穷大的值(因为得不到合理的答案),我们尝试用越来越大的 x值:
|
![]() |
当 x 越来越大时, 1 x 越来越接近 0
这很有意思:
我们想说答案是 "0",但我们不可以,所以数学家用特定名词 "极限" 来表达这种情形:
当 x 趋近无穷大时, 1 x 的 极限 是 0
写下来是
![]()
换句话说:
换句话说: 1 x 趋近 0
当你看到 "极限" 时,想:"趋近"
用数学的语言来说:"我们不是说在 x=∞,但我们知道当 x 越来越大时,答案便越来越接近 0"。
所以,有时我们不能直接用无穷大,但是我们可以用极限。
| 在 ∞ 的情形是 未定义的 …… | 1 x | ||
| …… 但我们知道当 x 趋近无穷大时,1/x 趋近 0 |
当 x 趋近无穷大时,这个函数的极限是什么?
y = 2x
若 "x" 越来越大,"2x" 也越来越大:
| x | y=2x |
| 1 | 2 |
| 2 | 4 |
| 4 | 8 |
| 10 | 20 |
| 100 | 200 |
| ... | ... |
所以当 "x" 趋近无穷大时,"2x" 也趋近无穷大。我们这样写:
![]()
| 不要被这个 "="号迷惑了!我们其实无法达到无穷大,但在 "极限" 的语言里,极限是无穷大 (意思其实是函数没有极限)。 |
上面我们分析了两个例子,一个趋近 0,另一个趋近无穷大。
实际上,很多无穷大的极限是很容易求的,只要我们知道函数的 "走势",像这样
| 当 x 趋近无穷大时,像 1/x 的函数趋近 0 。像 /x2 等的函数也一样 | |
| 像 x 的函数会趋近无穷大,2x 或 x/9 等函数也一样。同样,含有 x2 或 x3 等的函数也会趋近无穷大。 | |
| 但要小心,函数 "−x" 趋近 "负无穷大",所以我们要留意 x 的正负号。 |
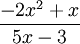
例子: 2x2−5x
如果我们留意函数的次数 (函数里最高的指数),我们便可以知道答案:
如果函数的次数是:
但是,如果次数是 0 或未知值,情形便会复杂一点。
| 有理函数 是两个多项式的比: | ||
| 例如,在这里 P(x) = x3 + 2x − 1, Q(x) = 6x2: |
根据上面方程的次数 概念,求极限的第一步是……
| ……极限是 0。 |
……用最高指数的项的系数相除,像这样:
(注意因为次数是相同的,所以最大的指数也是相同的。)
| ……极限是正无穷大…… | |
| ……或负无穷大。不要忘了看正负号! |
要确定极限是正还是负,我们看有最大指数的项的正负号,好像在上面找系数一样:
|
例如,这个会趋近正无穷大,因为……
|
||
| 但这个函数的极限是负无穷大,因为 −2/5 是负数。 |
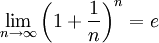
有一个e (欧拉数) 的公式是基于无穷大和这个公式的:
(1+ 1/n)n
| 在无穷大: | (1+1/∞)∞ = ??? …… 不知道! |
所以我们不求"在"的值,我们尝试用越来越大的 n值:

| n | (1 + 1/n)n |
|---|---|
| 1 | 2.00000 |
| 2 | 2.25000 |
| 5 | 2.48832 |
| 10 | 2.59374 |
| 100 | 2.70481 |
| 1,000 | 2.71692 |
| 10,000 | 2.71815 |
| 100,000 | 2.71827 |
结果趋近 2.71828...,这就是e (欧拉数) 的值。
我们又看到这个现象了:
因此,我们用极限来表达答案:
![]()
用数学的语言来说:"我们不是说当 n=∞,但我们知道当 n 越来越大时,答案便越来越接近 e" 的值。
不要犯错 …… !在图和列列表上我们看到当 n 越来越大时,函数趋近 2.71828…… 但如果我们想把无穷大当作一个 "很大的实数" (它不是!),我们会得到: (1+1/∞)∞ = (1+0)∞ = (1)∞ = 1 故事的寓意是:不要把无穷大当作一个实数:你会得到错误的答案! 极限才是正途。 |
我在这里比较随和地解释了极限,也使用了图和列表来做示范。
但计算极限的值("求值")就没有那么简单了,你可以去 极限求值 了解更多。